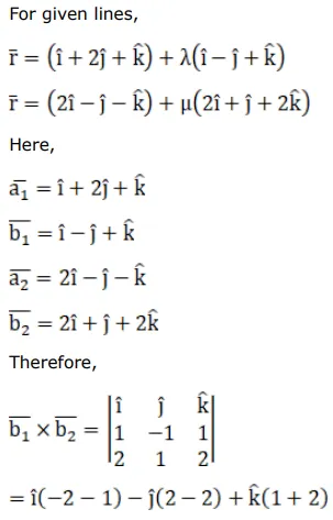
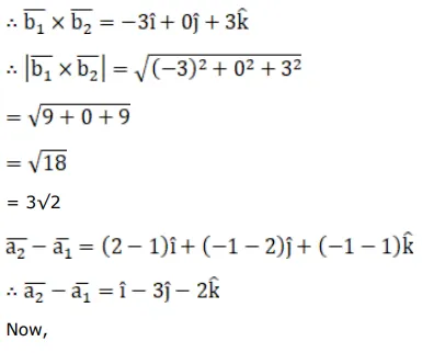
Question:
Find the shortest distance between the given lines.
$\overrightarrow{\mathrm{r}}=(\hat{\mathrm{i}}+2 \hat{\mathrm{j}}+\hat{\mathrm{k}})+\lambda(\hat{\mathrm{i}}-\hat{\mathrm{j}}+\hat{\mathrm{k}})$
$\overrightarrow{\mathrm{r}}=(2 \hat{\mathrm{i}}-\hat{\mathrm{j}}-\hat{\mathrm{k}})+\mu(2 \hat{\mathrm{i}}+\hat{\mathrm{j}}+2 \hat{\mathrm{k}})$
Solution:





