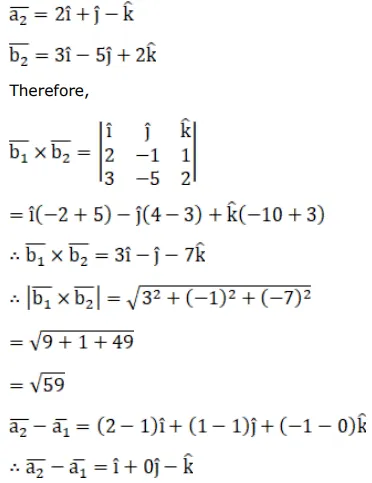
Question:
Find the shortest distance between the given lines.
$\overrightarrow{\mathrm{r}}=(\hat{\mathrm{i}}+\hat{\mathrm{j}})+\lambda(2 \hat{\mathrm{i}}-\hat{\mathrm{j}}+\hat{\mathrm{k}})$
$\overrightarrow{\mathrm{r}}=(2 \hat{\mathrm{i}}+\hat{\mathrm{j}}-\hat{\mathrm{k}})+\mu(3 \hat{\mathrm{i}}-5 \hat{\mathrm{j}}+2 \hat{\mathrm{k}})$
Solution:





