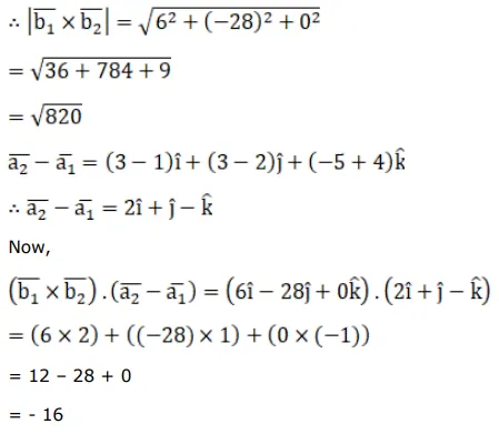
Question:
Find the shortest distance between the given lines.
$\overrightarrow{\mathrm{r}}=(\hat{\mathrm{i}}+2 \hat{\mathrm{j}}-4 \hat{\mathrm{k}})+\lambda(2 \hat{\mathrm{i}}+3 \hat{\mathrm{j}}+6 \hat{\mathrm{k}})$
$\overrightarrow{\mathrm{r}}=(3 \hat{\mathrm{i}}+3 \hat{\mathrm{j}}-5 \hat{\mathrm{k}})+\mu(-2 \hat{\mathrm{i}}+3 \hat{\mathrm{j}}+8 \hat{\mathrm{k}})$
Solution:





