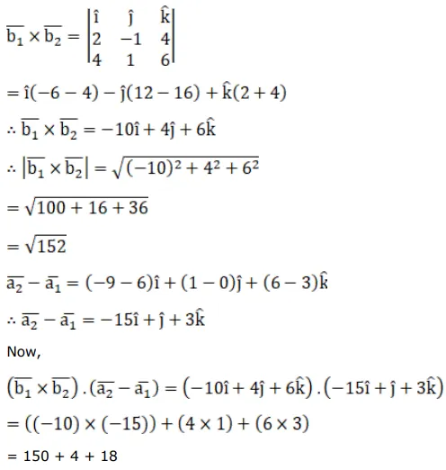
Find the shortest distance between the given lines.

Question:

Find the shortest distance between the given lines.

$\vec{r}=(6 \hat{i}+3 \hat{k})+\lambda(2 \hat{i}-\hat{j}+4 \hat{k})$

$\vec{r}=(-9 \hat{i}+\hat{j}-10 \hat{k})+\mu(4 \hat{i}+\hat{j}+6 \hat{k})$

Solution:

Leave a comment