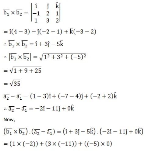
Find the shortest distance between the given lines.
Question:
Find the shortest distance between the given lines.
$\overrightarrow{\mathrm{r}}=(3-\mathrm{t}) \hat{\mathrm{i}}+(4+2 \mathrm{t}) \hat{\mathrm{j}}+(\mathrm{t}-2) \hat{\mathrm{k}}$
$\overrightarrow{\mathrm{r}}=(1+s) \hat{\mathrm{i}}+(3 \mathrm{~s}-7) \hat{\mathrm{j}}+(2 \mathrm{~s}-2) \hat{\mathrm{k}}$
Solution:






