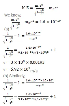
Find the speed of an electron with kinetic energy

Question:

Find the speed of an electron with kinetic energy

(a) $1 \mathrm{eV}$,

(b) $10 \mathrm{keV}$ and

(c) $10 \mathrm{MeV}$.

Solution:

Leave a comment