Find the thickness of a plate which will produce a change
Question:
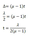
Find the thickness of a plate which will produce a change in optical path equal to half the wavelength $\lambda$ of the light passing through it normally. The refractive index of the plate is $\mu$.
Solution:
