Question:
Find the time period of small oscillations of the following systems.
(a) A meter stick suspended through the $20 \mathrm{~cm}$ mark.
(b) A ring of mass $m$ and radius $r$ suspended through a point on its periphery.
(c) A uniform square plate of edge a suspended through a corner.
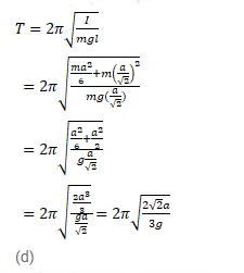
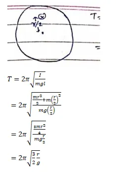
(d) A uniform disc of mass $m$ and radius $r$ suspended through a point $r / 2$ away from the center.
Solution:




