Question:
Find the value of p for the following frequency distribution whose mean is 16.6

Solution:
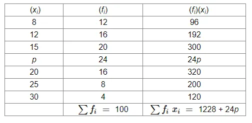
We will make the following table:

Thus, we have:
Mean $=\frac{\sum f_{i} x_{i}}{\sum x_{i}}$
$\Rightarrow 16.6=\frac{(1228+24 p)}{100}$
$\Rightarrow 1660=1228+24 p$
$\Rightarrow 24 p=432$
$\Rightarrow p=18$