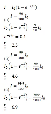
Find the value of t/τ for which the current in an LR circuit builds up to

Question:

Find the value of $t / T$ for which the current in an LR circuit builds up to

(a) $90 \%$,

(b) $99 \%$ and

(c) $99.9 \%$ of the steady-state value.

Solution:

Leave a comment