Find the vector and Cartesian equations of the line passing through the points

Question:

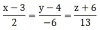
Find the vector and Cartesian equations of the line passing through the points $A(3,4,-6)$ and $B(5,-2$, 7).

Solution:

Leave a comment