Question:
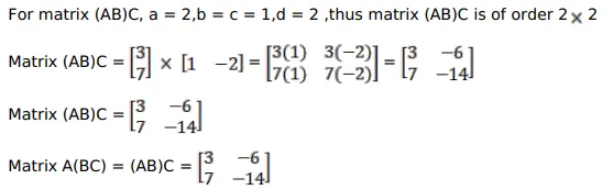
For the following matrices, verify that $A(B C)=(A B) C$ :.
$\mathrm{A}=\left[\begin{array}{rrr}2 & 3 & -1 \\ 3 & 0 & 2\end{array}\right], \mathrm{B}=\left[\begin{array}{l}1 \\ 1 \\ 2\end{array}\right]$ and $\mathrm{C}=\left[\begin{array}{ll}1 & -2\end{array}\right]$
Solution:




