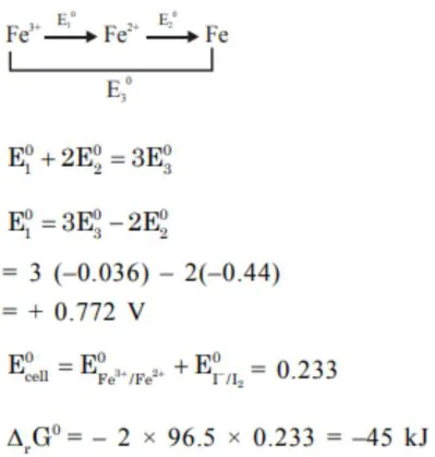
Question:
For the reaction $2 \mathrm{Fe}^{3+}(\mathrm{aq})+2 \mathrm{I}^{-}(\mathrm{aq}) \rightarrow 2 \mathrm{Fe}^{2+}(\mathrm{aq})+\mathrm{I}_{2}(\mathrm{~s})$ the magnitude of the standard molar free energy change, $\Delta_{\mathrm{r}} \mathrm{G}_{\mathrm{m}}^{\circ}=-_{\mathrm{kJ}} \mathrm{J}$ (Round off to the Nearest Integer).
Solution:
(45)
