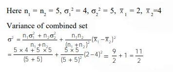
Question: For two data sets each of size is 5, the variances are given to be 4 and 5 and the corresponding means are given to be 2 and 4 respectively, then the variance of the combined data set is :-
$\frac{5}{2}$
$\frac{11}{2}$
6
$\frac{13}{2}$
Correct Option: , 2
Solution:
