Question:
Four cards are successively drawn without replacement from a deck of 52 playing cards. What is the probability that all the four cards are kings?
Solution:
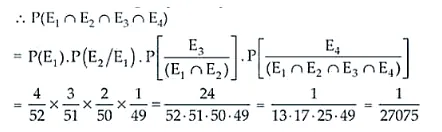
Let E1, E2, E3 and E4 be the events that first, second, third and fourth card is King respectively.

Therefore, the required probability is 1/27075.