Question:
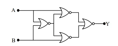
Four NOR gates are connected as shown in figure.
The truth table for the given figure is :

Correct Option: , 4
Solution:

$y=\overline{(\overline{A+\overline{A+B}})+(\overline{B+\overline{A+B})}}$
$\mathrm{y}=(\mathrm{A}+\overline{\mathrm{A}+\mathrm{B}}) \cdot(\mathrm{B}+\overline{\mathrm{A}+\mathrm{B}})$

Ans. 4



