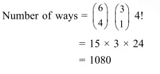
Question:
From 6 different novels and 3 different dictionaries, 4 novels and 1 dictionary are to be
selected and arranged in a row on a shelf so that the dictionary is always in the middle.
The number of such arrangements is-
Correct Option: , 4
Solution:
