Given below are two statements :
Question:
Given below are two statements :
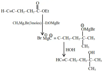
Statement I : Ethyl pent-4-yn-oate on reaction with $\mathrm{CH}_{3} \mathrm{MgBr}$ gives a $3^{\circ}$-alcohol.
Statement II : In this reaction one mole of ethyl pent-4-yn-oate utilizes two moles of $\mathrm{CH}_{3} \mathrm{MgBr}$.
In the light of the above statements, choose the most appropriate answer from the options given below :
Correct Option: , 3
Solution:
Statement 1 is true
But it consume 3 moles of G R
So statement 2 is false.
