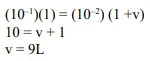
Question: How many litres of water must be added to 1 litre of an aqueous solution of $\mathrm{HCl}$ with a $\mathrm{pH}$ of
1 to create an aqueous solution with $\mathrm{pH}$ of 2 ?
$0.1 \mathrm{~L}$
$0.9 \mathrm{~L}$
$2.0 \mathrm{~L}$
$9.0 \mathrm{~L}$
Correct Option: , 4
Solution:
