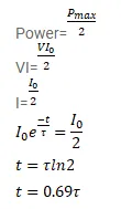
How many time constants will elapse before the power delivered
Question:
How many time constants will elapse before the power delivered by the battery drops to half of its maximum value in an RC circuit?
Solution:
