How many times constants will elapse before the charge on a capacitor falls to
Question:
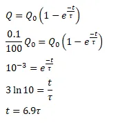
How many times constants will elapse before the charge on a capacitor falls to $0.1 \%$ of its maximum value in a discharging RC circuit?
Solution:
