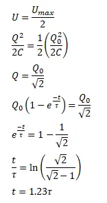
How many times constants will elapse before the energy stored in
Download now India's Best Exam Prepration App
Class 8-9-10, JEE & NEET
Video Lectures
Live Sessions
Study Material
Tests
Previous Year Paper
Revision
Question:
How many times constants will elapse before the energy stored in the capacitor reaches half of its equilibrium value in a charging $\mathrm{RC}$ circuit?