(i) Given below are the steps lor extraction of copper from its ore.
Question:
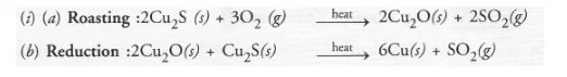
(i) Given below are the steps lor extraction of copper from its ore. Write the reaction involved.
(a) Roasting of copper (1) sulphide
(b) Reduction of copper (1) oxide with copper (1) sulphide.
(c) Electrolytic refining
(ii) Draw a neat and well labelled diagram for electrolytic refining of copper.
Solution:

This reaction in which one of the reactants (Cu2S) carries the reduction of the product (Cu2O) is known as auto-reduction.
(c) Reactions taking place in electrorefensing are :

(ii) For the diagram of electro-refining,
