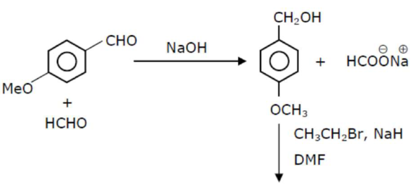
Identify A in the following chemical reaction.

Question:

Identify A in the following chemical reaction.


Correct Option: , 3

Solution:

Leave a comment