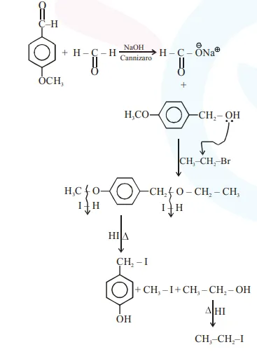
Identify A in the following chemical reaction

Question:

Identify $\mathrm{A}$ in the following chemical reaction


Correct Option: , 3

Solution:

Leave a comment