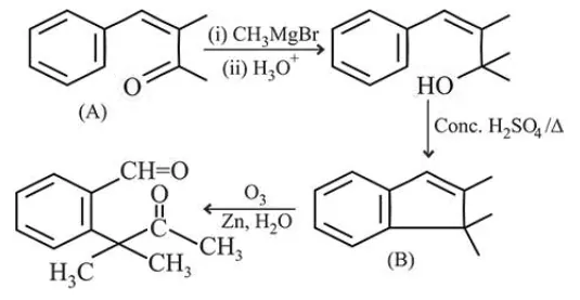
Identify (A) in the following reaction sequence:

Question:

Identify (A) in the following reaction sequence:


Correct Option: , 2

Solution:

Leave a comment

Comments

Tanvi
May 2, 2022, 11:20 p.m.
why didn't 6 member ring form instead of 5 member?