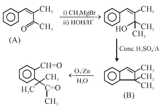
Identify (A) in the following reaction sequence :

Question:

Identify (A) in the following reaction sequence :


Correct Option: , 4

Solution:

Leave a comment