Identify the compound Y in

Question:

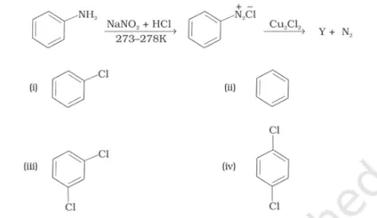
Identify the compound Y in the following reaction.

Solution:

Option (i) is the answer.

Leave a comment