Identify the major products A and B respectively

Question:

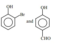
Identify the major products A and B respectively in the following reactions of phenol.


Correct Option: , 2

Solution:

Leave a comment