Question:
If a and b are different positive primes such that
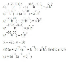
(i) $\left(\frac{a^{-1} b^{2}}{a^{2} b^{-4}}\right)^{7} \div\left(\frac{a^{3} b^{-5}}{a^{-2} b^{3}}\right)=a^{x} b^{y}$ find $x$ and $y$
(ii) $(a+b)^{-1}\left(a^{-1}+b^{-1}\right)=a^{x} b^{y}$, find $x$ and $y$
Solution:
(i) $\left(\frac{a^{-1} b^{2}}{a^{2} b^{-4}}\right)^{7} \div\left(\frac{a^{3} b^{-5}}{a^{-2} b^{3}}\right)=a^{x} b^{y}$ find $x$ and $y$
$\left(\frac{a^{-1} b^{2}}{a^{2} b^{-4}}\right)^{7} \div\left(\frac{a^{3} b^{-5}}{a^{-2} b^{3}}\right)=a^{x} b^{y}$

$=\left(\frac{1}{a+b}\right)\left(\frac{1}{a}+\frac{1}{b}\right)$
$=\left(\frac{1}{a+b}\right)\left(\frac{b+a}{a b}\right)$
$=1 / a b$
$=(a b)^{-1}=a^{-1} b^{-1}$
By equating exponents
x = −1, y = −1
Therefore $x+y+2=-1-1+2=0$