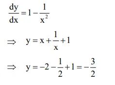
Question: If a curve passes through the point $\left(2, \frac{7}{2}\right)$ and has slope $\left(1-\frac{1}{x^{2}}\right)$ at any point $(x, y)$ on it, then the ordinate of the point on the curve whose abscissa is $-2$ is :
$-\frac{5}{2}$
$\frac{5}{2}$
$-\frac{3}{2}$
$\frac{3}{2}$
Correct Option: , 3
Solution:
