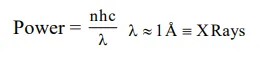
If a source of power 4 kW produces
Question:
If a source of power $4 \mathrm{~kW}$ produces $10^{20}$ photons/second, the radiation belongs to a part of the spectrum called
Correct Option: , 3
Solution:
