If a wire is stretched to make it 0.1 % longer its resistance will :-

Question:

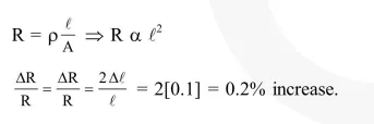
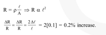
If a wire is stretched to make it $0.1 \%$ longer its resistance will :-

  1. decrease by $0.2 \%$

  2.  decrease by $0.05 \%$

  3. increase by $0.05 \%$

  4.  increase by $0.2 \%$


Correct Option: , 4

Solution:

Leave a comment