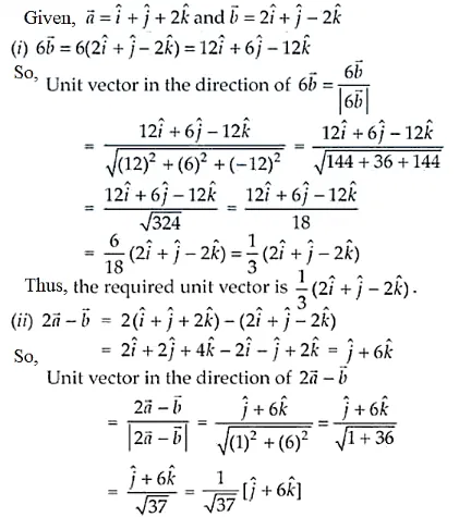
If find the unit vector in the direction of

Question:

If find the unit vector in the direction of

$\vec{a}=\hat{i}+\hat{j}+2 \hat{k}$ and $\vec{b}=2 \hat{i}+\hat{j}-2 \hat{k}$

(i) $6 \vec{b}$

(ii) 90$2 \vec{a}-\vec{b}$

Solution:

Leave a comment