Question: If $S$ is the set of distinct values of ' $b$ ' for which the following system of linear equations
$x+y+z=1$
$x+a y+z=1$
$a x+b y+z=0$
has no solution, then $S$ is :
a singleton
an empty set
an infinite set
a finite set containing two or more elements
Correct Option: 1
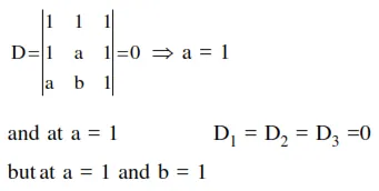
Solution:

