Question:
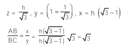
If the angles of elevation of the top of a tower from three collinear points $A, B$ and $C$, on a line leading to the foot of the tower, are $30^{\circ}, 45^{\circ}$ and $60^{\circ}$ respectively, then the ratio, $\mathrm{AB}$ : $B C$, is:
Correct Option: , 3
Solution:

