If the extremities of the base of an isoscelestriangle are the points
Question:
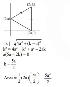
If the extremities of the base of an isoscelestriangle are the points $(2 \mathrm{a}, 0)$ and $(0, \mathrm{a})$ and the equation of one of the sides is $x=2 a$, then the area of the triangle, in square units, is:
Correct Option: 1
Solution:
