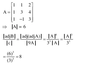
Question: If the matrices $\mathrm{A}=\left[\begin{array}{ccc}1 & 1 & 2 \\ 1 & 3 & 4 \\ 1 & -1 & 3\end{array}\right], \mathrm{B}=\operatorname{adj} \mathrm{A}$ and
$C=3 A$, then $\frac{|\operatorname{adj} B|}{|C|}$ is equal to :
Correct Option: , 3
Solution:
