If the mean of the following data is 18.75. Find the value of p.
If the mean of the following data is 18.75. Find the value of p.

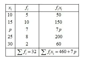
Given:

Mean $=18.75$
First of all prepare the frequency table in such a way that its first column consist of the values of the variate $\left(x_{i}\right)$ and the second column the corresponding frequencies $\left(f_{i}\right)$.
Thereafter multiply the frequency of each row with corresponding values of variable to obtain third column containing $\left(f_{i} x_{i}\right)$.
Then, sum of all entries in the column second and denoted by $\sum f_{i}$ and in the third column to obtain $\sum f_{i} x_{i}$.

We know that mean, $\bar{X}=\frac{\sum f_{i} x_{i}}{\sum f_{i}}$
$18.75=\frac{460+7 p}{32}$
By using cross multiplication method,
$460+7 p=600$
$7 p=600-460$
$p=\frac{140}{7}$
$=20$
Hence, $p=20$