If the projections of a line segment on thex,

Question:

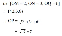
If the projections of a line segment on thex, $y$ and $z$-axes in 3-dimensional space are 2,3 and 6 respectively, then the length ofthe line segment is :

  1. 7

  2. 9

  3. 12

  4. 6


Correct Option: 1

Solution:

Leave a comment