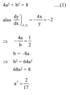
Question: If the tangents on the ellipse $4 x^{2}+y^{2}=8$ at the points $(1,2)$ and $(a, b)$ are perpendicular to each other, then $\mathrm{a}^{2}$ is equal to :
$\frac{64}{17}$
$\frac{2}{17}$
$\frac{128}{17}$
$\frac{4}{17}$
Correct Option: , 2
Solution:
