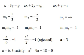
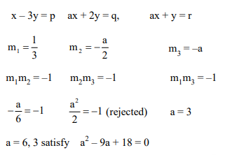
Question: If the three lines $x-3 \mathrm{y}=\mathrm{p}, \mathrm{a} x+2 y=\mathrm{q}$ and $\mathrm{a} x+\mathrm{y}=\mathrm{r}$ form a right $-$ angled triangle then:
$a^{2}-6 a-12=0$
$a^{2}-9 a+12=0$
$a^{2}-9 a+18=0$
$a^{2}-6 a-18=0$
Correct Option:
Solution:
