If the zeros of the polynomial f(x) = ax3 + 3bx2 + 3cx + d are in A.P., prove that 2b3 − 3abc + a2d = 0.
Let $a-d, a$ and $a+d$ be the zeros of the polynomial $f(x)$. Then,
Sum of the zeros $=\frac{\text { Coefficient of } x^{2}}{\text { Coefficient of } x^{3}}$
$(a+d)+a+(a-d)=-\frac{3 b}{a}$

$3 a=\frac{-3 b}{a}$

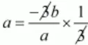
$a=\frac{-b}{a}$
Since a is a zero of the polynomial f(x).
Therefore,
$f(x)=a x^{3}+3 b x^{2}+3 c x+d$
$f(a)=0$
$f(a)=a a^{3}+3 b a^{2}+3 c a+d$
$a a^{3}+3 b a^{2}+3 c a+d=0$
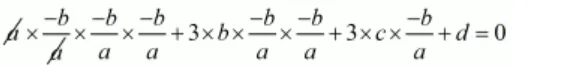
$a\left(\frac{-b}{a}\right)^{3}+3 b \times\left(\frac{-b}{a}\right)^{2} 3 \times c\left(\frac{-b}{a}\right)+d=0$
$a \times \frac{-b}{a} \times \frac{-b}{a} \times \frac{-b}{a}+3 \times b \times \frac{-b}{a} \times \frac{-b}{a}+3 \times c \times \frac{-b}{a}+d=0$

$\frac{-b^{3}}{a^{2}}+\frac{3 b^{3}}{a^{2}}-3 \frac{c b}{a}+d=0$
$\frac{-b^{3}+3 b^{3}-3 a b c+a^{2} d}{a^{2}}=0$
$2 b^{3}-3 a b c+a^{2} d=0 \times a^{2}$
$2 b^{3}-3 a b c+a^{2} d=0$
Hence, it is proved that $2 b^{3}-3 a b c+a^{2} d=0$