Question:
If $(x+a)$ is a factor of $2 x^{2}+2 a x+5 x+10$, find $a .$
Solution:
Given $(x+a)$ is a factor of $f(x)=2 x^{2}+2 a x+5 x+10$.
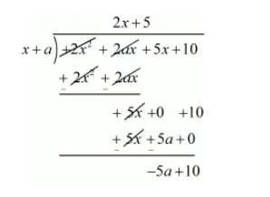
Let us now divide $f(x)$ by $x+a$.
We have,

Now, remainder $=0$
$10-5 a=0$
$10=5 a$
$\frac{10}{5}=a$
$2=a$
Hence, the value of $a$ is 2