If y=m x+4 is a tangent to both the parabolas,

Question:

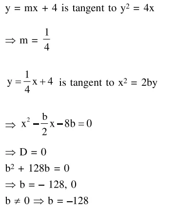
If $y=m x+4$ is a tangent to both the parabolas, $y^{2}=4 x$ and $x^{2}=2 b y$, then $b$ is equal to :

  1. 128

  2. $-64$

  3. $-128$

  4. $-32$


Correct Option: , 3

Solution:

Leave a comment