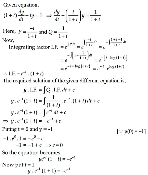
If y(t) is a solution of and y (0) = – 1,

Question:

If y(t) is a solution of and (0) = – 1, then show that (1) = -1/2.

Solution:

Leave a comment