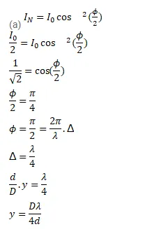
Question:
In a Young's double slit interference experiment the fringe pattern is observed on a screen placed at a distance $D$ from the slits. The slits are separated by a distance $d$ and are illuminated by monochromatic light of wavelength $\lambda$. Find the distance from the central point where the intensity falls to
(a) half the maximum,
(b) one fourth of the maximum.
Solution:

