In an experiment for determination of refractive index of glass of a prism by
Question:
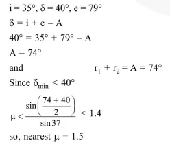
In an experiment for determination of refractive index of glass of a prism by $\mathrm{i}-\delta$, plot, it was found that a ray incident at angle $35^{\circ}$, suffers a deviation of $40^{\circ}$ and that it emerges at angle $79^{\circ}$. In that case which of the following is closest to the maximum possible value of the refractive index?
Correct Option: , 2
Solution:
