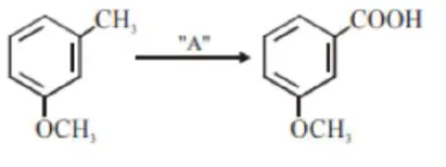
In the above reaction, the reagent "A" is:

Question:

In the above reaction, the reagent "A" is:

  1. $\mathrm{NaBH}_{4}, \mathrm{H}_{3} \mathrm{O}^{+}$

  2. $\mathrm{LiAlH}_{4}$

  3. Alkaline $\mathrm{KMnO}_{4}, \mathrm{H}^{+}$

  4. $\mathrm{HCl}, \mathrm{Zn}-\mathrm{Hg}$


Correct Option: , 3

Solution:

Leave a comment