In the following reaction sequence,

Question:

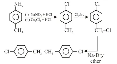
In the following reaction sequence, $[\mathrm{C}]$ is :-


Correct Option: , 3

Solution:

Leave a comment